ديكستران
ديكستران هو مركب، فرعي من الغلوكان (عديد السكاريد مصنوع من جزيئات متعددة من الجلوكوز) ومؤلف من سلسلة من أطوال مختلفة (من 10 إلى 150 وحدة كتل ذرية). يستخدم طبياً كمضاد تخثر (مضاد تصفح) ،لخفض لزوجة الدم وكموسع في فقر الدم.[1]
| ديكستران | |
|---|---|
![]() ديكستران | |
![]() ديكستران | |
| المعرفات | |
| رقم CAS | 9004-54-0 |
| الخواص | |
| الصيغة الجزيئية | H(C6H10O5)xOH |
| الكتلة المولية | Variable |
| كود ATC | B05 |
| في حال عدم ورود غير ذلك فإن البيانات الواردة أعلاه معطاة بالحالة القياسية (عند 25 °س و 100 كيلوباسكال) | |
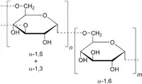
السلسلة المستقيمة تتالف من α-1 ،6 روابط غليكوسيدية بين جزيئات الجلوكوز، بينما الفروع تبدأ من α-1،3 رابطة. (لمعلومات عن عدد ذرات الكربون في الغلوكوز. الديكستران يركب من السكروز من خلال العديد من بكتريا حمض-لبني ،الأكثر شهرة بينها Leuconostoc mesenteroides وعقدية طافرة.
الاستخدامات
استخدامات في العمليات الجراحية المجهرية الدقيقة
هذه الوحدات تستخدم غالباً من قبل الجراحين الدقيقين لخفض التخثر الوعائي. التأثير المضاد للتخثر للديكستران يتوسط خلال تغليفه لخلية الدم الحمراء ،الصفيحات والغشاء الباطن الوعائي لخفض سلبيتها الإلكترونية والتخفيف بذلك من تجمع خلايا الدم الخمراء والالتصاق الصفيحات. الديكستران أيضاً يخفض عامل VIII-Ag عامل فون ويليبراند ،وذلك بالتقليل من عامل التصفح الدموي platelet. الخثرات التي تتشكل بعد تسليم الإدارة للديكستران تكون أكثر سيولة lysed بسبب البنية thrombus المعدّلة (توزيع أكثر للصفيحات الدموية مع ليفين خشن). بمنع antiplasmin α-2 ،يعمل الديكستران كمنشط بلازمين ولذلك يمتلك الخواص التخثرية. وخارج هذه الصفات الديكستران الأكبر حجماً التي لا تمر عبر الأوعية تكون كوحدات تناضحية فعالة ،ولذلك استخدمت لعلاج فقدان السوائل. الhemodilution يسببه توسع الحجم باستخدام الديكستران لتحسين تدفق الدم ،ولذلك فإن هذه الثورة تطوير oanastomoses وتقلل التخثر. ولا يزال الفرق بين التاثير antithrombotic المكتشف بالمقارنة مع إدارة intraarterial and intravenous للديكستران غير واضح. مركبات الديكستران متاحة في الكثير من الأوزان الجزيئية يتراوح بين 10000 إلى 150000 Da. الأكبر منها تفرز بقلّة من الكلية ولذلك تبقى في الدم لأسابيع حتى تؤيّض. من ثم تمتد بتأثيرات مضادة للتخثر وتأثيرات صمغية. في هذه العائلة الديكستران-40 (MW: 40,000 Da) هو العضو الأكثر شهرة في علاج مضاد تخثر. تقريباً 70% من ديكستران-40 يفرز في البول مع ال24 ساعة الأولى بعد الصب الوريدي بينما يبقى 30% تبقى لعدة أيام أخرى.
استخدامات طبية أخرى
- يستخدم في بعض قطرات العين كمخفف للحكة وبسوائل وعائية مختلفة لإذابة مواد أخرى مثل الحديد (ديكستران الحديد).
- محاليل وعائية حيث يعمل الديكستران باتجاهين كموسع وسائل تغذية غير معوية. مثل تلك المحاليل تؤمن تغذية بحيث ما إن تهضم في الجسم وتصل للخلايا تقوم مباشرة بتحويلها إلى غلوكوز وماء حر. وأحياناً يستخدم لتعويض نقص الدم في حالات الطوارئ حيث لا يتوفر تبديل الدم ،لكن يجب أن يستخدم بحذر حيث لا توفر بالضرورة الكهربائية اللازمة حيث يمكن أن تسبب نقص صوديوم الدم أو غيرها من اضطرابات الانحلال بالكهرباء.
- وهي أيضاً تزيد مستوى سكر الدم.
الاستخدامات المخبرية
- يستخدم في تقنية الضغط التناضحي لتأمين ضغط تناضحي للجزيئات البيولوجية.
- يستخدم أيضاً في بعض مصفوفات الاستثناء الحجمي اللوني مثل سيفاديكس.
- استخدم أيضاً بالشكل الحبيبي للمساعدة في تطبيقات المفاعلات الحيوية.
- استخدم أيضاً في شل حركة أجهزة الاستشعار.
- ربط بشكل مميز بدخلول مبكر حيث أن الديكستران المشع ممكن استخدامه لرؤية تلك الendosomes تحت مجهر نيوني.
- يستخدم كغطاء استقرار للحماية الجزيئات النانوية المعدنية من الأكسدة وتحسين التوافق الحيوي.
- عندما يمتزج الديكستران مع جزيء مشع (مثل FITC) يستخدم لإنشاء تدرجات التركيز في جزيئات انتشارية للتصوير والسماح بتتالي خصائص أخرى في المنحدر المدرج.
- يستخدم لعمل حاملات ميكروية للخلايا الصناعية.
التأثيرات الجانبية
على الرغم من أن هناك آثىر جانبية قليلة لاستخدام الديكستران ،غلا أنها يمكن أن تكون خطيرة. وهي تتضمن حساسية مفرطة ،حجم زائد ،وذمة الرئة ،وذمة دماغية ،أو سوء وظيفة الصفيحات. وهناك أثر اختلاط للديكستران غير شائع وهو فشل كلوي حاد. السبب في هذا الفشل الكلوي هو موضوع مناقشات عديدة مع وجود تأثير سام مباشر على الأوعية وأثر كبيبة حيث أن فرط اللزوجة يؤدي إلى أخطار. المرضى الذين لديهم تاريخ من مرض السكري ،قصور كلوي أو اضطرابات الأوعية الدموية هم الأكثر عرضة للخطر. بروكس وغيرهم ينصحون بتجنب علاج الديكستران مع المرضى الذين يعانون من قصور كلوي مزمن وCrCl<40 cc خلال الدقيقة.
مراجع
- Medical Surgical Nursing, 7th Edition, Lewis, 2008
وصلات خارجية
- عن بنى الديكستران
- Dextrans في المَكتبة الوَطنية الأمريكية للطب نظام فهرسة المواضيع الطبية (MeSH).
- بوابة الكيمياء
- بوابة طب
- بوابة صيدلة
- بوابة الكيمياء الحيوية

