سيفوتاكسيم
سيفوتاكسيم (Cefotaxime) . وينطق /ˌsɛfɵˈtæksiːm/ مضاد للجراثيم (Antibacterial agent) (سيفالوسبورين الجيل الثالث) Cephalosporin (Third Generation). سيفوتاكسيم هو مركب سيفالوسبورين نصف اصطناعي من الجيل الثالث، وهو مضاد للجراثيم سلبية الغرام ما عدا الزائفة الزنجارية (Pseudomonas Aeruginosa)، ولبعض الجراثيم إيجابية الغرام. التي طورته شركة هويشت-روسيل الصيدلانية في أواخر 1980s، كان من بين أول الجيل الثالث من السيفالوسبورينات ذات ("الطيف الموسع") والأول من فئته لسيصبح متاح في الولايات المتحدة.[2] هو على قائمة منظمة الصحة العالمية للأدوية الأساسية، والأدوية الأكثر أهمية والضرورية الاساسية في النظام الصحي.[3]
| سيفوتاكسيم | |
|---|---|
![]() | |
![]() سيفوتاكسيم | |
| الاسم النظامي | |
| (6R,7R,Z)-3-(Acetoxymethyl)-7-(2-(2-aminothiazol-4-yl)-2-(methoxyimino)acetamido)-8-oxo-5-thia-1-azabicyclo[4.2.0]oct-2-ene-2-carboxylic acid | |
| يعالج | مرض معدي بالإشريكية القولونية ، وعدوى الجهاز البولي ، وذات الرئة البكتيري ، ومرض السيلان ، ومرض تناسلي أنثوي ، وعدوى السراتية ، والتهاب السحايا البكتيري ، والتهاب البريتون ، وعدوى الجهاز التنفسي العلوي ، وداء العظم المعدي ، وإنتان ، وعدوى بكتيريا سالبة غرام ، وعدوى المكورة العنقودية ، وصدمة إنتانية [1] |
| اعتبارات علاجية | |
| اسم تجاري | Claforan ; Cefatam (LGls) |
| ASHPDrugs.com | أفرودة |
| مدلاين بلس | a682765 |
| فئة السلامة أثناء الحمل | B1 (أستراليا) B (الولايات المتحدة) |
| طرق إعطاء الدواء | وريدي وعضلي |
| بيانات دوائية | |
| توافر حيوي | n/a |
| استقلاب (أيض) الدواء | كبد |
| عمر النصف الحيوي | 0.8–1.4 ساعة |
| إخراج (فسلجة) | 50–85٪ كلوي |
| معرّفات | |
| CAS | 63527-52-6 |
| ك ع ت | J01J01DD01 DD01 |
| بوب كيم | CID 5479527 |
| ECHA InfoCard ID | 100.058.436 |
| درغ بنك | DB00493 |
| كيم سبايدر | 4586392 |
| المكون الفريد | N2GI8B1GK7 |
| كيوتو | D07647 |
| ChEMBL | CHEMBL102 |
| بيانات كيميائية | |
| الصيغة الكيميائية | C16H17N5O7S2 |
| الكتلة الجزيئية | 455.47 g/mol |
الإستعمالات الطبية
من استخداماته :
- السيلان . • الْتِهابُ لِسَانِ المزمارِ مع كلندامايسين. • ذات الرئة . • خراج الدماغ والتهاب السحايا • التهاب العظم والنقي • الوقاية من العدوى الجراحية. • التهاب المفصل . • التهاب الملتحمة (الرمد) الوليدي بالمكورات البينة. • التهاب السحايا . • تسمم الدم (إنتان). • مرض لايم • حمى التيفوئيد • التهاب الصفاق .
- التهاب الأذن الوسطى، التهاب الجيوب.[4]

الطيف النشاطي
بوصفه مضاد حيوي β لاكتام من فئة الجيل الثالث من السيفالوسبورينات، سيفوتاكسيم هو فعال ضد العديد من البكتيريا إيجابية الجرام وسالبة الجرام، بما فيها العديد لديه مقاومة كلاسيكية لβ-اكتامات مثل البنسلين. هذه البكتيريا في كثير من الأحيان تتجلى كما في التهابات المسالك التنفسية السفلى، والجلد والجهاز العصبي المركزي، والعظام، وتجويف داخل البطن. في حين الحساسيات الاماكن يجب أن تكون دائما في الاعتبار، سيفوتاكسيم فعال ضد هذه الكائنات (بالإضافة إلى العديد غيرها) بشكل خاص:[4]
- المكورات العنقودية الذهبية (وليس بما في ذلك MRSA) و S. البشروية
- العقدية الرئوية و S. المقيحة
- الإشريكية القولونية
- المستدمية النزلية
- النيسرية البنية و N. السحائية
- كليبسيلا 'النيابة.
- المتقلبة الرائعة و P. الشائع
- الساكازاكية النيابة.
- النيابة 'باكتيرويديز.
- المغزلية النيابة.
الكائنات الحية الملحوظة ضد السيفوتاكسيم غير النشطة تشمل سودوموناس و المكورات المعوية [5] كما هو موضح، فقد النشاط المتواضع ضد اللاهوائية باكتيرويديز فراجيليس .
وفيما يلي البيانات تمثل قابلية MIC لبضع الكائنات الحية الدقيقة الهامة طبيا:
موانع الاستعمال
فرط الحساسية للسيفوتاكسيم أو غيرها من السيفالوسبورينات.
الآثار الجانبية
- الجهاز الهضمي : الإسهال، الغثيان ، التقيؤ، التهاب القولون تفاعلات فرط الحساسية وانزعاج بطني.
- ردود فعل تحسسية: (طفح، حكة، شرى، تفاعلات شبيهة بداء المصل، حمى، آلام مفصلية، تأق، حمامي متعددة الأشكال، تقشر الأنسجة المتموتة البشروية التسممي).
- كبدية: اضرابات في خمائر الكبد، التهاب كبد عابر، يرقان ركودي.
- التهاب كلية خلالي قابل للتراجع.
- عصبية: فرط نشاط، اضطرابات في النوم، تخليط، دوخة، توتر وصداع.
الجرعة
الحقن العضلي العميق أو الحقن الوريدي البطيء خلال 3-5 دقائق أو بالتسريب الوريدي خلال 20-60 دقيقة
- البالغون: 2-6 غ/يوم كجرعة مفردة أو مقسمة على 2-4 جرعات، يمكن إعطاء 12 غ/يوم بالطريق الوريدي في حال الإنتانات الشديدة مقسمة على 6 جرعات.
- الأطفال:
100-150 ملغ/كغ/يوم (50 ملغ/كغ لدى حديثي الولادة) مقسمة على 2-4 جرعات
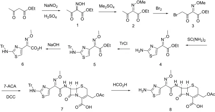
التخليق


تحذيرات
مصادر
- معرف المصطلحات المرجعية بملف المخدرات الوطني: https://bioportal.bioontology.org/ontologies/NDFRT?p=classes&conceptid=N0000147755 — تاريخ الاطلاع: 13 ديسمبر 2016
- Scriabine, Alexander (1999). "Chapter 2.". In Landau, Ralph; Achilladelis, Basil; Scriabine, Alexander (المحررون). Pharmaceutical Innovation: Revolutionizing Human Health. Pennsylvania: Chemical Heritage Foundation. صفحة 169. ISBN 0-941901-21-1. مؤرشف من الأصل في 27 أبريل 2020. اطلع عليه بتاريخ 17 يناير 2015. الوسيط
|CitationClass=تم تجاهله (مساعدة) - "WHO Model List of EssentialMedicines" (PDF). World Health Organization. October 2013. مؤرشف من الأصل في 29 يناير 2017. اطلع عليه بتاريخ 22 أبريل 2014. الوسيط
|CitationClass=تم تجاهله (مساعدة) - U.S. Food and Drug Administration. U.S. Department of Health and Human Services. Claforan Sterile (cefotaxime for injection, USP) and Injection (cefotaxime injection, USP). 19 June 2009. http://www.accessdata.fda.gov/drugsatfda_docs/label/2008/050596s035,050547s066lbl.pdf نسخة محفوظة 19 سبتمبر 2020 على موقع واي باك مشين.
- Cefotaxime drug information نسخة محفوظة 01 أكتوبر 2010 على موقع واي باك مشين.
- Cefotaxime (Cephotaxime, Claforan) | The Antimicrobial Index Knowledgebase - TOKU-E نسخة محفوظة 11 سبتمبر 2017 على موقع واي باك مشين.
- (PDF) https://web.archive.org/web/20170911023943/http://www.toku-e.com/Assets/MIC/Cefotaxime%20sodium%20USP.pdf. مؤرشف من الأصل (PDF) في 11 سبتمبر 2017. الوسيط
|CitationClass=تم تجاهله (مساعدة); مفقود أو فارغ|title=(مساعدة) - PMID 6271716 (ببمد 6271716)
Citation will be completed automatically in a few minutes. Jump the queue or expand by hand - PMID 6967869 (ببمد 6967869)
Citation will be completed automatically in a few minutes. Jump the queue or expand by hand - Brand Names of Some Commonly Used Drugs - Merck Manuals Professional Edition نسخة محفوظة 10 أغسطس 2011 على موقع واي باك مشين.
- بوابة الكيمياء
- بوابة صيدلة
- بوابة طب

