4،1-ديوكسان
4،1-ديوكسان هو مركب عضوي له الصيغة C4H8O2، وهو عبارة ثنائي إيثر حلقي، بالتالي فهو من المركبات الحلقية غير المتجانسة. يعرف غالباً باسم ديوكسان فقط، لأن المتماكبات (الإيزوميرات) الأخرى غير شائعة. يكون الديوكسان على شكل سائل عديم اللون زيتي القوام له رائحة لطيفة تشبه رائحة الإيثر.
| 4،1-ديوكسان | |
|---|---|
![]() 4،1-ديوكسان |
![]() 4،1-ديوكسان |
| الاسم النظامي (IUPAC) | |
4،1-ديوكسان | |
| المعرفات | |
| رقم CAS | 123-91-1 |
| بوب كيم | 31275 |
مواصفات الإدخال النصي المبسط للجزيئات
| |
| الخواص | |
| الصيغة الجزيئية | C4H8O2 |
| الكتلة المولية | 88.11 غ/مول |
| المظهر | سائل عديم اللون زيتي القوام |
| الكثافة | 1.03 غ/سم3 |
| نقطة الانصهار | 11.8 °س |
| نقطة الغليان | 101.1 °س |
| المخاطر | |
| ترميز المخاطر | F
Xn |
| توصيف المخاطر | |
| تحذيرات وقائية | |
| في حال عدم ورود غير ذلك فإن البيانات الواردة أعلاه معطاة بالحالة القياسية (عند 25 °س و 100 كيلوباسكال) | |
الخواص
- يمتزج الديوكسان بشكل جيد مع الماء، ومع باقي المذيبات العضوية الأخرى. يبلغ عزم ثنائي قطب المركب 0.45 ديباي.
- للديوكسان في الحالة الصلبة بنيتين بلوريتين مختلفتين: النمط I والنمط II. عند الدرجة 0°س يتحول النمط الثاني إلى الأول، والذي بنصهر عند الدرجة 11°س.[4] يتميز المركب بتناظر هندسي واضح، ويكون له تشكيل الكرسي كما لمركب حلقي الهكسان.
- يشكل الديوكسان مزائج سهلة الاشتعال مع الهواء، حيث أن نقطة الوميض له تبلغ 12°س. يتراوح تركيب المزائج القابلة للاشتعال بين 1.9 % حجماً (70 غ/م3) و22.5 % حجماً (820 غ/م3) (الحدود الدنيا والعليا).[5] أما درجة حرارة الاشتعال الذاتي فتبلغ 375°س.[5] في حين أن الموصلية الكهربائية له تبلغ 5·10−13 S·m−1 وهي ضعيفة جداً.[6]
التحضير
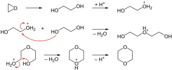
يحضر الديوكسان من البلمهة المحفزة حمضياً لمركب ثنائي إيثيلين غليكول، والذي ينتج من حلمهة أكسيد الإيثيلين. يجري التفاعل وفق الآلية الموضحة أدناه:

يحصل على المركب كناتج ثانوي من عملية إضافة أكسيد الإيثيلين Ethoxylation والمستخدمة أثناء إنتاج مركبات مثل ميريث كبريتات الصوديوم Sodium myreth sulfate ولوريث كبريتات الصوديوم والتي لها تطبيقات في مجال مستحضرات التجميل.[7]
تراوح الإنتاج العالمي من الديوكسان علم 1985 بين 11,000 إلى 14,000 طن.[8]
الاستخدامات
يستخدم الديوكسان كمذيب لاقطبي شبيه بثنائي إيثيل الإيثر من حيث القدرة على حل المركبات المختلفة، إلا أن الديوكسان يمتزج مع الماء في حين أن الإيثر الإيثيلي لا يمتزج. لكن نظراً للسمية النسبية للديوكسان فإنه غالباً ما يستخدم رباعي هيدرو الفوران THF كبديل عنه في بعض التطبيقات. على الرغم من ذلك، فإن للديوكسان نقطة غليان أعلى من رباعي هيدرو الفوران.
يستخدم الديوكسان كمثبت لمركب 1،1،1-ثلاثي كلورو الإيثان، والذي لديه قابلية للتفكك عند تخزينه أو نقله في أوعية من الألومنيوم. عادة ما يكون الألومنيوم خاملاً نتيجة وجود طبقة من الأكسيد على السطح، إلا أنه تعرض هذ الطبقة لمركبات كلورو الكربون فإنه من الممكن أن يتشكل كلوريد الألومنيوم، والذي بدوره يحفز تفاعل نزع هاليد الهيدروجين Dehydrohalogenation لثلاثي كلورو الإيثان المتبقي إلى 1،1-ثنائي كلورو الإيثيلين وكلوريد الهيدروجين. في حال إضافة الديوكسان كمثبت فإن يظهر مقدرةً على تشكيل ربيطة مع ثلاثي كلوريد الألومنيوم، ويعطل دوره التحفيزي بتشكيله ناتج ضم.[8]
تتصرف ذرة الأكسجين في المركب كقاعدة لويس، بالتالي فالمركب قادر على حل العديد من المركبات اللاعضوية، كما أن الديوكسان قادر على تشكيل ربيطات متمخلبة. فعلى سبيل المثال يتفاعل الديوكسان مع كاشف غرينيار من أجل ترسيب ثنائي هاليد المغنسيوم، بالتالي فإن الديوكسان بذلك يؤثر على توازن شلينك Schlenk equilibrium في الوسط.[8] يمكن تحضير ثنائي ميثيل المغنسيوم بهذا الأسلوب.[9][10]
- 2 CH3MgBr + (C2H4O)2 → MgBr2(C2H4O)2 + (CH3)2Mg
يستخدم الديوكسان أيضاً كمقيس داخلي في مطيافية الطنين النووي المغناطيسي للبروتون وذلك بمزجه مع D2O (الماء الثقيل).[11]
اقرأ أيضاً
المراجع
- معرف بوب كيم: https://pubchem.ncbi.nlm.nih.gov/compound/31275 — تاريخ الاطلاع: 19 نوفمبر 2016 — العنوان : 1,4-DIOXANE — الرخصة: محتوى حر
- معرف بوب كيم: https://pubchem.ncbi.nlm.nih.gov/compound/31275
- صفحة البيانات الكيميائية من Alfa [وصلة مكسورة] نسخة محفوظة 5 مارس 2020 على موقع واي باك مشين.
- Jacobs, C.J.; Parks, G.S.: Thermal data on organic compounds. XIV. Some heat capacity, entropy and free energy data for cyclic substances in J. Am. Chem. Soc. 56 (1934) 1513–1517.
- E. Brandes, W. Möller: Sicherheitstechnische Kenngrößen - Band 1: Brennbare Flüssigkeiten und Gase, Wirtschaftsverlag NW – Verlag für neue Wissenschaft GmbH, Bremerhaven 2003.
- Berufsgenossenschaftliche Regeln für Sicherheit und Gesundheit bei der Arbeit: BG-Regel 132 Vermeidung von Zündgefahren infolge elektrostatischer Aufladungen, Stand Juli 2004, Jedermann-Verlag Heidelberg.
- Black, RE; Hurley, FJ; Havery, DC (2001). "Occurrence of 1,4-dioxane in cosmetic raw materials and finished cosmetic products". Journal of AOAC International. 84 (3): 666–70. PMID 11417628. الوسيط
|CitationClass=تم تجاهله (مساعدة) - Surprenant, Kenneth S. (2000). "Dioxane". doi:10.1002/14356007.a08_545. الوسيط
|CitationClass=تم تجاهله (مساعدة); Cite journal requires|journal=(مساعدة) - Cope, Arthur C. (1935). Journal of the American Chemical Society. 57: 2238. doi:10.1021/ja01314a059. الوسيط
|CitationClass=تم تجاهله (مساعدة); مفقود أو فارغ|title=(مساعدة) - Anteunis, M. (1962). "Studies of the Grignard Reaction. II. Kinetics of the Reaction of Dimethylmagnesium with Benzophenone and of Methylmagnesium Bromide-Magnesium Bromide with Pinacolone". The Journal of Organic Chemistry. 27: 596. doi:10.1021/jo01049a060. الوسيط
|CitationClass=تم تجاهله (مساعدة) - Shimizu, A.; Ikeguchi, M.; Sugai, S. (1994). "Appropriateness of DSS and TSP as internal references for 1H NMR studies of molten globule proteins in aqueous media". Journal of Biomolecular NMR. 4: 859. doi:10.1007/BF00398414. الوسيط
|CitationClass=تم تجاهله (مساعدة)
- بوابة الكيمياء



