تفاعل تحلق
تفاعل التحلّق [1] في الكيمياء العضوية هو تفاعل كيميائي يتضمن تشكيل حلقة جديدة في الجزيء.[2] يمكن تشكيل الحلقات في الجزيئات للحصول على مركبات متعددة الحلقات مثل الأسينات أو الهيليسينات. من الأمثلة على تفاعلات التحلق كل من تفاعل تحلق روبنسون Robinson annulation و بعض تفاعلات الإضافة الحلقية.
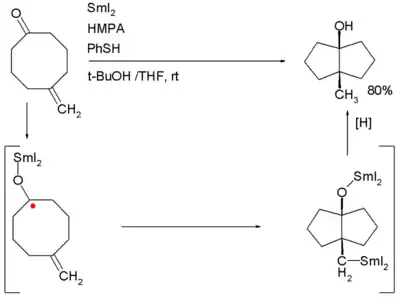
تفاعل عبر تحلقي
في التفاعل عبر تحلقي transannulation يتم تفاعل التحلق مروراً بحلقة متوفرة لتشكيل مركب ثنائي الحلقة وذلك برابطة كربون-كربون داخل الجزيء مروراً بتشكيل حلقة أحادية ضخمة.
كمثال على ذلك تفاعل تشكل حلقة 5-ميثيلين حلقي الأوكتانون من ألكين-كيتون والذي يمر عبر تشكل مركب كيتيل وسطي بوجود حفاز من يوديد الساماريوم الثنائي.[3]
تفاعل تحلق بنزيني
يشير تفاعل التحلق البنزيني إلى المركبات الحلقية العطرية الناتجة من إضافة حلقة/حلقات عطرية إلى حلقة البنزين. يحوي الجدول أمثلة على هذه المركبات:
| مشتق التحلق البنزيني | مصدر المركب الحلقي |
|---|---|
| بنزوبيرين | بيرين |
| كينولين | بيريدين |
| إيزوكينولين | |
| كرومين | بيران |
| إيزوكرومين | |
| إندول | بيرول |
| إيزوإندول | |
| بنزوفوران | فوران |
| إيزوبنزوفوران | |
| بنزإيميدازول | إيميدازول |
المراجع
- ترجمة Annulation حسب قاموس المغني الأكبر من مكتبة لبنان ناشرون. نسخة محفوظة 14 أبريل 2020 على موقع واي باك مشين.
- الاتحاد الدولي للكيمياء البحتة والتطبيقية. "annulation". Compendium of Chemical Terminology Internet edition. الاتحاد الدولي للكيمياء البحتة والتطبيقية. "annelation". Compendium of Chemical Terminology Internet edition.
- Construction of Bicyclic Ring Systems via a Transannular SmI2-Mediated Ketone-Olefin Cyclization StrategyGary A. Molander, Barbara Czakó, and Michael Rheam , J. Org. Chem.; 2007; 72(5) pp 1755 - 1764; (Article) doi:10.1021/jo062292d
- بوابة الكيمياء
This article is issued from Wikipedia. The text is licensed under Creative Commons - Attribution - Sharealike. Additional terms may apply for the media files.

