أدرينالين
الأدرينالين (بالإنجليزية: Adrenaline) ويسمى أيضاً الإبينيفرين (بالإنجليزية: Epinephrine) هو هرمون وناقل عصبي تفرزه غدة الكظر وهي تقع فوق الكلية، حيث ينتج في الخلايا أليفة الكروم في لب الكظر. وهو يعمل على زيادة نبض القلب وانقباض الأوعية الدموية وبالمجمل يؤدي إلى تحضير الجسم لحالات الكر والفر. يعد الإبينفرين ونورإبينفرين أهم الناقلات العصبية في الجهاز العصبي الودي.
| أدرينالين | |
|---|---|
![]() | |
![]() أدرينالين | |
| الاسم النظامي | |
| (R)-4-(1-hydroxy- 2-(methylamino)ethyl)benzene-1,2-diol | |
| يعالج | زرق مفتوح الزاوية ، وتوقف القلب ، وانسداد مجرى الهواء ، وانخفاض ضغط الدم ، وبطء القلب ، وصدمة إنتانية ، وصدمة الحساسية ، ورجفان بطيني ، وحساسية الطعام [1] |
| اعتبارات علاجية | |
| فئة السلامة أثناء الحمل | A (أستراليا) C (الولايات المتحدة) |
| طرق إعطاء الدواء | IV, IM, أنبوب القصبة الهوائية, IC |
| بيانات دوائية | |
| توافر حيوي | Nil (oral) |
| استقلاب (أيض) الدواء | adrenergic synapse (MAO and ناقل كاتيكول-و-مثيل) |
| عمر النصف الحيوي | دقيقتان |
| إخراج (فسلجة) | بولي |
| معرّفات | |
| CAS | 51-43-4 |
| ك ع ت | A01A01AD01 AD01 B02BC09 (WHO) C01CA24 (WHO) R01AA14 (WHO) R03AA01 (WHO) S01EA01 (WHO) |
| بوب كيم | CID 838 |
| ECHA InfoCard ID | 100.000.090 |
| درغ بنك | APRD00450 |
| كيم سبايدر | 5611 |
| المكون الفريد | YKH834O4BH |
| كيوتو | C00788 |
| ChEMBL | CHEMBL679 |
| بيانات كيميائية | |
| الصيغة الكيميائية | C9H13NO3 |
| الكتلة الجزيئية | 183.204 g/mol |
الكيمياء الحيوية
الاصطناع الحيوي
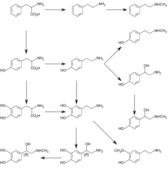
من الناحية الكيميائية يعد الأدرينالين واحداً من النواقل العصبية أحادية الأمين والتي تدعى الكاتيكولامينات. يصطنع الأدرينالين في الجسم بشكل أساسي داخل الخلايا أليفة الكروم في لب الغدة الكظرية، وكذلك في عدد صغير من العصبونات داخل النخاع المستطيل بواسطة مسار استقلابي يتحول فيه الحمضَين الأمينييَن فينيل ألانين وتيروسين إلى عدد من المركبات الوسطية المستقلَبة، وبالنهاية إلى الأدرينالين.[7][6][8] يُهَدرل التيروسين أولاً إلى ليفودوبا (L-DOPA) بواسطة هيدروكسيلاز التيروسين، وهي الخطوة المحددة لسرعة التفاعل. بعد ذلك يحدث تفاعل نزع كربوكسيل ليعطي الدوبامين بواسطة نازعة كربوكسيل L-الحمض الأميني العطري؛ ثم يحول الدوبامين إلى نورإبينفرين (نورأدرينالين) بواسطة إنزيم بيتا-هيدروكسيلاز الدوبامين، والذي يستخدم حمض الأسكوربيك (فيتامين سي) وأيونات النحاس عوامل مرافقة. تتضمن الخطوة الأخيرة في عملية الاصطناع الحيوي للادرينالين حدوث تفاعل مثيلة لمجموعة الأمين في النورأدرينالين. يحفر التفاعل الأخير بواسطة الإنزيم ناقلة ميثيل-N فينيل إيثانولامين (PNMT)، والذي يستخدم S-أدينوسيل الميثيونين (SAMe) مانحاً لمجموعة الميثيل.[9] في حين أن إنزيم ناقلة ميثيل-N فينيل إيثانولامين (PNMT) يوجد بشكل أساسي في العصارة الخلوية للخلايا الصماء في لب الغدة الكظرية؛ إلا أنه قد تم الكشف عنه بنسب ضئيلة في كل من القلب والدماغ.[10]
الضبط
يعد الضغط النفسي عاملاً أساسياً في الإطلاق الفيزيولوجي للأدرينالين في مجرى الدم، إذ تعمل المثيرات العصبية مثل وجود خطر محدق أو الترقب أو الضجيج أو الأضواء الساطعة وعوامل منبهة مشابهة على تنبيه الجهاز العصبي المركزي،[11] الأمر الذي يؤدي إلى اصطناع الأدرينالين وتحريره. تؤدي المنبهات العصبية إلى تحويل التيروسين إلى ليفودوبا وكذلك الدوبامين إلى نورأدرينالين، ويساهم إفراز هرمون الكورتيزول في الغدة الكظرية بتحويل النورأدرينالين إلى أدرينالين.
يمكن التحكم أيضاً بإنتاج الأدرينالين في الجسم عبر الارتجاع السلبي (تغذية راجعة سلبية) من أجل تقليل اصطناعه في الجسم.[12] يصادف وجود تراكيز مرتفعة غير عادية من الأدرينالين في عدد من الحالات مثل تناول العقاقير المطلقة للأدرينالين بشكل فردي، وفي ورم القواتم وأورام أخرى في العقد الودية.
الاستقلاب
يُستقلَب الأدرينالين بعد فترة وجيزة نسبياً من إطلاقه، إذ أن عمر النصف البلازمي لهذا الهرمون إثر حقنه وريدياً يبلغ ما بين دقيقة واحدة إلى ثلاث دقائق. يتم الحد من تأثير الأدرينالين عند استرداده إلى النهايات العصبية، أو باستقلابه بإنزيم أكسيداز أحادي الأمين (MAO) وناقلة ميثيل-O الكاتيكول (COMT).
يعد الميتانفرين من المستقلبات الأساسية للأدرينالين، كما يتم الاستقلاب أيضاً إلى فانيليل حمض المندليك و3-ميثوكسي-4-هيدروكسي فينيل الغليكول؛ وجميع هذه المركبات ليست بذي فعالية حيوية وتطرح في البول، حيث يمكن الكشف عنها لتتبع النشاط الحيوي في الإفراز الكظري.[13]
التأثيرات الفيزيولوجية
لب الغدة الكظرية مساهمٌ صغير في مجموع الكاتيكولامينات المتداولة (ليفودوبا له تراكيز أعلى في بلازما الدم)،[14] ويساهم بنسبة 90% من الأدرينالين المتداول. يوجد القليل من الأدرينالين في الأنسجة، غالبا في الخلايا أليفة الكروم المتناثرة. عقب استئصال الكظرية، يختفي الأدرينالين تحت حد الكشف في مجرى الدم.[15] تساهم الغدد الكظرية بحوالي 7% من النورأدرينالين الساري في الدم، ومعظمه فيض عن النقل العصبي وذو نشاط صغير كهرمون.[16][17][18] تنشِط الجرعات الدوائية من الأدرينالين المستقبلاتِ الأدرينالية α1 وα2 وβ1 وβ2 وβ3 في الجهاز العصبي الودي. مستقبلات العصب الودي مصنفة بأنها أدرينالية الفعل وذلك بناء على استجابتها للأدرينالين.[19]
غالبا ما يساء تفسير المصطلح "أدرينالي الفعل" بأن الناقل العصبي الرئيسي للجهاز الودي هو النورأدرينالين، بدل الأدرينالين كما اكتُشِف من قبل أولف فون أولر سنة 1946.[20][21] للأدرينالين تأثيرٌ يتوسطه المستقبل الأدرينالي β2 على الأيض والسبيل التنفسي، ولا يوجد اتصال عصبوني مباشر من العقد الودية إلى السبيل التنفسي.[22][23][24]
اقتُرح مفهوم أن للب الغدة الكظرية والجهاز العصبي الودي دور في استجابة الكر أو الفر أول مرة بواسطة والتر كانون.[25] لكن لب الغدة الكظرية وعلى عكس قشرة الكظرية ليست مطلوبة من أجل البقاء على قيد الحياة. في المرضى مستأصلي الكظر، تبقى استجابات ديناميكا الدم والاستجابات الأيضية للمنبهات مثل نقص سكر الدم والتمارين طبيعيةً.[26][27]
التمرين
التمارين البدنية هي أحد المنبهات لإفراز الأدرينالين، وتم إثبات هذا أول مرة باستخدام حدقة قط أزيلت الأعصاب عنها كمقايسة،[28] ثم أُكِّدت لاحقا باستخدام مقايسة بيولوجية على عينات بول.[29] نُشِرت الطرق الكيميائية الحيوية لقياس الكاتيكولامينات في بلازما الدم ابتداء من العقد 1950 وما بعده.[30] ورغم أن العديد من الأعمال المهمة نُشرت باستخدام مقايسات فلورومترية لقياس مجموع تراكيز الكاتيكولامينات، إلا أن الطريقة كانت غير نوعية وغير حساسة لكي تحدد بدقة كميات الأدرينالين الصغيرة جدا في البلازما. غيّر تطور تقنيات الاستخراج والمقايسات الإنزيمية الراديوية (REA) حساسية التحليلات إلى 1 بيكوغرام من الأدريناين.[31] أظهرت مقايسات REA للبلازما أن الأدرينالين ومجموع الكاتيكولامينات يرتفع لاحقا عند التمارين البدنية، خاصة عندما يبدأ الأيض اللاهوائي.[32][33][34]
أثناء التمارين البدنية يزيد تركيز الأدرينالين في الدم جزئيا بسبب زيادة إفرازه من لب الغدة الكظرية وجزئيا بسبب انخفاض الأيض الذي يعود إلى انخفاض تدفق الدم الكبدي.[35] تسريب (حقن) الأدرينالين للأفراد الذين هم في حالة راحة لإعادة إنتاج تراكيز الأدرينالين في الدم الناتجة أثناء التمارين له تأثير صغير في ديناميكا الدم، عدا انخفاضٍ صغيرٍ في ضغط الدم الانبساطي الذي يتوسطه المستقبل β2.[36][37] يُثبِّط تسريب الأدرينالين في الحدود الفيسيولوجية النشاط الفائق للسبيل التنفسي البشري بشكل كافٍ لمناهضة تأثيرات التضييق الخاصة بالهستامين المستنشق.[38]
حُدِّد رابط بين ما يُعرف الآن بأنه الجهاز العصبي الودي والرئة سنة 1887 حين أظهر غروسمن أن تنبيه الأعصاب المعجِّلة للقلب عكست تضيق السبيل الهوائي الذي يُحدثه المسكارين.[39] في تجاربٍ على كلب قُطِعت سلسلة عقده الودية عند الحجاب الحاجز، أظهر جاكسون أنه لا يوجد إعصاب ودي مباشر مع الرئة، لكن التضيق القصبي تم عكسه بتحرير الأدرينالين من لب الغدة الكظرية.[40] لم يتم الإبلاغ عن زيادة في معدل حدوث نوبات الربو لدى المرضى مستأصلي الغدة الكظرية، والذين لديهم استعداد وراثي للربو سيحصلون على بعض الحماية من النشاط الفائق للسبيل الهوائي بواسطة العلاج ببدائل الكورتيكوستيرويد. تُحدث التمارين توسعَ سبيل هوائي متفاقم (مترقٍ) لدى الأفراد الطبيعيين وهذا التوسع يتناسب مع مقدار التمارين ولا يمنعه تثبيط مستقبلات بيتا.[41] التوسع المتفاقم للسبيل التنفسي مع زيادة التمارين البدنية يتوسطه انخفاض متفاقم لنشاط العصب المبهم أثناء الراحة. يسبب تثبيط مستقبلات بيتا بواسطة بروبرانولول ارتدادا (تحسنا) في مقاومة السبيل الهوائي بعد التمارين لدى الأفراد العاديين على مدار نفس الوقت الذي يُرى فيه التضيق القصبي الذي تحدثه التمارين المحدِثة لأعراض الربو.[42] الانخفاض في مقاومة السبيل الهوائي أثناء التمارين يُخفض من مقدار الجهد في التنفس.[43]
الاستجابة العاطفية
كل استجابة عاطفية أو شعورية لها مكون سلوكي -مكون مستقل- ومكون هرموني. يشمل المكون الهرموني تحرير الأدرينالين، وهي استجابة لب الغدة الكظرية التي تحدث بسبب إجهادٍ أو ضغط ما والتي يُتحكم فيها بواسطة الجهاز العصبي الودي. أحد المشاعر الكبيرة التي دُرست ولها علاقة بالأدرينالين هي الخوف. في إحدى التجارب، أبدى الأفراد الذين حُقِنوا بالأدرينالين تعابير وجه سلبية أكثر وتعابيرا إيجابية أقل تجاه أفلام رعب مقارنة بمجموعة شاهدة لم تحقن. وأبدى هؤلاء الأفراد كذلك حدة خوف أكبر من الأفلام وحِدة متوسطة أكبر للذكريات السلبية من أفراد المجموعة الشاهدة.[44] أثبتت نتائج هذه الدراسات أن هنالك ارتباطات متعلَّمَة بين المشاعر السلبية ومستويات الأدرينالين. وعموما، كميات الأدرينالين المرتفعة مرتبطةٌ إيجابيا مع حالة إثارة المشاعر السلبية. يمكن أن تكون هذه النتائج تأثيرا من ناحية أن الأدرينالين يُظهر الاستجابات الودية الفيسيولوجية ومنها زيادة دقات القلب وارتعاش الركبتين، والتي يمكن نسبتها إلى الشعور بالخوف بغض النظر عن المستوى الحقيقي للخوف الناتج من الفيديو. رغم أن الدراسات وجدت علاقة مؤكدة بين الأدرينالين والخوف، لم تحظ المشاعر الأخرى بنفس النتائج. ففي نفس الدراسة لم يبدِ الأفراد تسلية أكبر تجاه فلم تسلية ولا غضبا أكبر تجاه فلم غضب.[44] أُبلِغ عن نتائج مماثلة في دراسة لمجموعة من القوارض التي كانت إما قادرة أوغير قادرة على إنتاج الأدرينالين. ودعمت النتائج فكرة أن للأدرينالين دورا في تسهيل تشفير الأحداث التي تثير المشاعر والمساهمة في مستويات أعلى من اليقظة والإثارة بسبب الخوف.[45]
الذاكرة
وُجد أن بإمكان الهرمونات أدرينالية الفعل -مثل الأدرينالين- إحداث تحسنٍ رجوعيٍّ للذاكرة طويلة الأمد لدى البشر. يمكن لتحرير الأدرينالين بسبب الأحداث المجهِدة شعوريا تعديلُ تثبيتِ وتقويةِ الذاكرة للأحداث وضمان قوة ذاكرة متناسبة مع أهمية تذكر الحدث. نشاط الأدرينالين المحرر بعد التعلم يتآثر كذلك مع درجة اليقظة المرتبطة مع التشفير الأولي للحدث في الذاكرة.[46] يوجد دليل يقترح بأن للأدرينالين دور في التأقلم مع الإجهاد طويل الأمد وفي تشفير الذاكرة الشعورية بشكل خاص. يمكن للأدرينالين كذلك أن يلعب دورا في رفع ذاكرة اليقظة والخوف تحت ظروف إمراضية معينة منها اضطراب الكرب التالي للصدمة النفسية.[45] وبشكل عام، تدل دلائل كثيرة على أن الأدرينالين يُعدل تثبيت الذاكرة للمهام الموقظة للمشاعر لدى البشر والحيوانات.[47] وجدت دراسات أن ذاكرة الإدراك التي للأدرينالين دور فيها تعتمد على آليةٍ تعتمد على المستقبلات الأدرينالية بيتا.[47] لا يعبر الأدرينالين بسهولة الحاجز الدموي الدماغي، لذا تأثيراته على تثبيت وتقوية الذاكرة تبدؤها على الأقل جزئيا مستقبلات بيتا الأدرينالية في الجهاز العصبي محيطي. وجدت دراسات أن سوتالول -وهو مناهض لمستقبلات ألفا وبيتا لا يدخل الدماغ بسهولة كذلك- يثبط تأثيرات تحسين الذاكرة التي يحدثها الأدرينالين المتعاطى (المأخوذ) محيطيا.[48] تقترح هذه النتائج أن مستقبلات بيتا ضرورية بالنسبة للأدرينالين لكي يكون له تأثير على تثبيت وتقوية الذاكرة.
لكي يتم تحويل النورأدرينالين إلى أدرينالين بواسطة ناقلة ميثيل-N فينيل إيثانولامين (PNMT) في العصارة الخلوية، يجب أن يُنقل أولا خارج حبيبات الخلايا أليفة الكروم. ويمكن أن يحدث هذا عبر مبادِلِ الكاتيكولامين-H+ المسمى ناقل أحادي الأمين الحويصلي 1 (VMAT1). VMAT1 مسؤول كذلك على نقل الأدرينالين المخلق حديثا من العصارة الخلوية وإرجاعه إلى الحبيبات أليفة الكروم استعدادا لتحريره.[49]
في الخلايا الكبدية، يرتبط الأدرينالين بمستقبل أدريناليني β والذي يغير هيئته البنيوية ويساعد الوحدة الفرعية ألفا Gs -وهي وحدة من بروتين G- على تبديل ثنائي فوسفات الغوانوزين GDP إلى ثلاثي فوسفات الغوانوزين GTP. يتفكك بروتين G ثلاثي القسمات إلى الوحدات الفرعية ألفا Gs وبيتا-غاما. ترتبط الوحدة ألفا Gs بمحلقة الأدينيلات وتحول الـATP إلى أحادي فوسفات الأدينوسين الحلقي الذي يرتبط بدوره مع وحدة منظمة من كيناز البروتين A ليقوم هذا الأخير بفسفرة كيناز الفسفوريلاز. في الجانب الآخر يرتبط المركب بيتا-غاما Gs مع قناة كالسيوم ويسمح لأيونات الكالسيوم بالدخول إلى السيتوبلازم. ترتبط آيونات الكالسيوم ببروتينات الكالموديولين -وهي بروتينات متواجدة لدى جميع حقيقيات النوى- التي ترتبط بدورها مع كيناز الفسفوريلاز وتُكمل تنشيطه. يقوم كيناز الفسفوريلاز بفسفرة فسفوريلاز الغليكوجين الذي يُفسفر بدوره الغليكوجين ويحوله إلى غلوكوز-6-فوسفات.
آلية العمل
| العضو | التأثيرات |
|---|---|
| القلب | يزيد معدل دقات القلب، انقباضه، التوصيل عبر العقدة الأذينية البطينية |
| الرئتين | يزيد معدل التنفس، توسع القصبات الهوائية |
| الكبد | يحفز تحلل الغليكوجين |
| الدماغ | |
| جهازي | تضيق الأوعية و توسيع الأوعية |
| يُحفز تحلل الدهن | |
| انقباض العضلات |
مقالة مفصلة: مستقبل أدريناليني
بصفته هرمونا، يعمل الأدرينالين تقريبا في جميع أنسجة الجسم، وتختلف تأثيراته حسب نوع النسيج وتعبير النسيج عن المستقبلات الأدرينالية. على سبيل المثال: تسبب المستويات العالية من الأدرينالين استرخاء العضلات الملساء في المسالك الهوائية لكن تسبب انقباض العضلات الملساء التي تبطِّن معظم الشرينات.
يعمل الأدرينالين عبر الارتباط بمختلف المستقبلات الأدرينالية. الأدرينالين ناهضة غير انتقائية لجميع المستقبلات الأدرينالية بما في ذلك الأنواع الفرعية الرئيسية: α1 وα2 وβ1 وβ2 وβ3.[50] يُحدث ارتباط الأدرينالين بهذه المستقبلات عددا من التغييرات الأيضية. حيث أن ارتباطه بالمستقبلات الأدرينالية ألفا يثبط إفراز الإنسولين بواسطة البنكرياس ويحفز تحلل الغليكوجين في الكبد والعضلات،[51] ويحفز كذلك تحلل الجلوكوز وتثبيط تكون الغليكوجين المتوسَّط بواسطة الأنسولين في العضلات.[52][53] يُحدث الارتباط بالمستقبلات الأدرينالية بيتا إفراز الغلوكاغون في البنكرياس، وهو ما يزيد من إفراز الهرمون الموجه لقشر الكظر (ACTH) بواسطة الغدة النخامية، ويزيد تحلل الدهن بواسطة النسيج الدهني. تقود هذه التأثيرات معا إلى زيادة الغلوكوز والأحماض الدهنية في الدم، الأمر الذي يوفر ركائز من أجل إنتاج الطاقة داخل الخلايا عبر أنحاء الجسد.[53]
أفعال الأدرينالين تزيد المقاومة المحيطية عبر تضييق أوعيةٍ معتمدٍ على المستقبل α1، وتزيد النتاج القلبي عبر ارتباطه بمستقبلات β1. الهدف من تخفيض سريان الأدرينالين في الجهاز العصبي المحيطي هو زيادة الضعط التاجي وضغط التروية الدماغية وبذلك زيادة تبادل الأكسجين على المستوى الخلوي.[54] في حين يزيد الأدرينالين ضغط السريان الأبهري والمخي والسباتي، فإنه يخفض تدفق الدم السباتي ومستويات تخطيط ثاني أكسيد الكربون (ETCO2). يبدو أن بإمكان الأدرينالين تحسين السريان في الأوعية الدقيقة على حساب أسِرَّة الشعيرات الدموية أين تحدث التروية.[55]
الاستخدامات الطبية
مقالة مفصلة: إبينفرين (دواء)

علم الأمراض
الكيمياء

ينتمي الأدرينالين كيميائياً إلى الكاتيكولامينات مثل الدوبامين والنورأدرينالين، ويوجد منه حسب التوضع الفراغي لمجموعة الهيدروكسيل القريبة من المجموعة الأمينية شكلان فراغيان المتصاوغان مرآتياً وهما الشكل R والشكل S. يعد الشكل R هو الشكل الأكثر فعالية حيوياً، وذلك بحوالي 20-50 مرة من الشكل S.[56]
الاصطناع
توجد عدة طرق مختلفة ومنشورة للاصطناع العضوي للأدرينالين.[57] تتألف إحدى الطرق الكلاسيكية لاصطناع هذه المادة من ثلاث خطوات؛ والتي تبدأ بحدوث تفاعل أسيلة بين الكاتيكول (1) و كلوريد كلورو الأسيتيل (2) بوجود كلوريد الفوسفوريل؛ حيث تتضمن آلية التفاعل في هذه الخطوة تشكل مركب وسطي إستري، والذي تحدث له إعادة ترتيب فريس للحصول على مركب 4،3-ثنائي هيدروكسي-ω-كلورو الأسيتوفينون (3). في الخطوة الثانية يحدث تفاعل إضافة أمين بواسطة الميثيلامين للحصول على مركب الأدرينالون (4)، والذي يؤدي اختزاله إلى الحصول على مزيج راسيمي من الأدرينالين (5).

بأسلوب آخر يمكن أن يصطنع الأدرينالين من تفاعل 4،3-ثنائي ميثوكسي البنزألدهيد مع حمض البروسيك إلى سيانوهيدرين، والذي تعطي أكسدته مركب نتريلوكيتون. يؤدي الاختزال التحفيزي إلى الحصول على أمينو الكيتون، والذي يؤدي إضافة ميثيل على ذرة النتروجين الحصول على أمين ثانوي، ثم حدوث تفاعل حلمهة لفينيل الإيثر، ثم بإجراء تفاعل اختزال للحصول على الأدرينالين.
الثباتية
كما هو الحال مع باقي الكاتيكولامينات فإن الأدرينالين حساس تجاه أكسجين الهواء، حيث تؤدي أكسدته به إلى الحصول على مركب أدرينوكروم، كما يمكن الحصول على المركب الأخير مخبرياً بالأكسدة باستخدام أكسيد الفضة الأحادية (Ag2O). بالإضافة إلى ذلك يمكن أكسدة الأدرينالين في المحاليل المائية بوجود آثار من أيونات الحديد واليود، تكون سرعة تفاعل أكسدة في المحاليل متعلقة بـ pH الوسط. تزداد الثباتية في الأوساط الحمضية الضعيفة؛ كما تساهم المواد المضادة للأكسدة مثل حمض الأسكوربيك وبيروكبريتيت الصوديوم في التقليل من أكسدة الأدرينالين إلى الأدرينوكروم.

التاريخ
مقالة مفصلة: تاريخ أبحاث الكاتيكولامينات
في عام 1895 قام البولندي نابليون سيبولسكي Napoleon Cybulski بعزل وتمييز هرمون الأدرينالين. وفي مايو 1896 أعلن وليام بيتس William Bates في مجلة نيويورك الطبية عن اكتشاف مادة تنتج في الغدة الكظرية..[58] وقد كرر الإكتشاف في 1897 من قبل جون يعقوب هابيل John Jacob Abel.[59]
وفي عام 1900 تمكن الصيدلي الياباني جوكيتشي تاكامين Jokichi Takamine من اكتشاف نفس الهرمون لكن بشكل منفصل، وقد تمكن الياباني من استخلاص الهرمون من غدد البقر..[60][61]
هرمون الأدرينالين يكون إفرازه استجابة لأي نوع من أنواع الانفعال أو الضغط النفسي، كالخوف أو الغضب، وقد يفرز أيضاً لنقص السكر، وعادة ما يُفْرَز الهرمونان معاً. وفي عام 1904 تمكن فريدريك ستولز من تركيب الهرمون صناعياً.
الثقافة والمجتمع
مدمن الأدرينالين
مدمن الأدرينالين هو شخص يشارك في السلوك الساعي إلى الشعور بالاهتياج من خلال "السعي لتجارب جديدة ومكثفة دون اعتبار للمخاطر المادية أو الاجتماعية أو القانونية أو المالية".[62] وتتضمن هذه الأنشطة الرياضات المحفوفة بالمخاطر، وتعاطي المخدرات، والجنس غير الآمن، وارتكاب الجرائم. يتعلق المصطلح بزيادة مستويات الأدرينالين أثناء الإجهاد الفسيولوجي.[63] تكون هذه الزيادة في تركيز الأدرينالين ثانوية في عملية تنشيط الأعصاب المتأثرة بالموقف والتي تقوي نقي الغدة الكظرية، حيث أنها سريعة ولا تتوافر في الحيوانات التي تزال منها الغدة الكظرية.[64] على الرغم من أن هذا الإجهاد يسبب إطلاق الأدرينالين، إلا أنه ينشط أيضاً العديد من الاستجابات الأخرى في الجهاز العصبي المركزي نظام المكافأة، والذي يتحكم بالاستجابات السلوكية، لذا حين يكون تركيز الأدرينالين المنتشر متوفراً، فقد لا يتحكم بالسلوك. مع ذلك، فإن نقل الأدرينالين وحدة يزيد من اليقظة [65] ويلعب أدواراً في الدماغ بما فيها زيادة تدعيم الذاكرة.[63]:147–8
انظر أيضاً
المراجع
باللغة الإنجليزية
- معرف المصطلحات المرجعية بملف المخدرات الوطني: https://bioportal.bioontology.org/ontologies/NDFRT?p=classes&conceptid=N0000146377 — تاريخ الاطلاع: 13 ديسمبر 2016
- معرف بوب كيم: https://pubchem.ncbi.nlm.nih.gov/compound/5816 — تاريخ الاطلاع: 19 نوفمبر 2016 — العنوان : epinephrine — الرخصة: محتوى حر
- Broadley KJ (March 2010). "The vascular effects of trace amines and amphetamines". Pharmacol. Ther. 125 (3): 363–375. doi:10.1016/j.pharmthera.2009.11.005. PMID 19948186. الوسيط
|CitationClass=تم تجاهله (مساعدة) - Lindemann L, Hoener MC (May 2005). "A renaissance in trace amines inspired by a novel GPCR family". Trends Pharmacol. Sci. 26 (5): 274–281. doi:10.1016/j.tips.2005.03.007. PMID 15860375. الوسيط
|CitationClass=تم تجاهله (مساعدة) - Wang X, Li J, Dong G, Yue J (February 2014). "The endogenous substrates of brain CYP2D". Eur. J. Pharmacol. 724: 211–218. doi:10.1016/j.ejphar.2013.12.025. PMID 24374199. الوسيط
|CitationClass=تم تجاهله (مساعدة) - Malenka RC, Nestler EJ, Hyman SE (2009). "Chapter 6: Widely Projecting Systems: Monoamines, Acetylcholine, and Orexin". In Sydor A, Brown RY (المحررون). Molecular Neuropharmacology: A Foundation for Clinical Neuroscience (الطبعة 2nd). New York, USA: McGraw-Hill Medical. صفحة 157. ISBN 9780071481274.
Epinephrine occurs in only a small number of central neurons, all located in the medulla. Epinephrine is involved in visceral functions, such as the control of respiration. It is also produced by the adrenal medulla.
الوسيط|CitationClass=تم تجاهله (مساعدة) - Lieberman M, Marks A, Peet A (2013). Marks' Basic Medical Biochemistry: A Clinical Approach (الطبعة 4th). Philadelphia: Wolters Kluwer Health/Lippincott Williams & Wilkins. صفحة 175. ISBN 9781608315727. مؤرشف من الأصل في 07 فبراير 2020. الوسيط
|CitationClass=تم تجاهله (مساعدة) - von Bohlen und Haibach O, Dermietzel R (2006). Neurotransmitters and Neuromodulators: Handbook of Receptors and Biological Effects. Wiley-VCH. صفحة 125. ISBN 978-3-527-31307-5. مؤرشف من الأصل في 06 فبراير 2020. الوسيط
|CitationClass=تم تجاهله (مساعدة) - Kirshner N, Goodall M (June 1957). "The formation of adrenaline from noradrenaline". Biochimica et Biophysica Acta. 24 (3): 658–9. doi:10.1016/0006-3002(57)90271-8. PMID 13436503. الوسيط
|CitationClass=تم تجاهله (مساعدة) - Axelrod J (May 1962). "Purification and Properties of Phenylethanolamine-N-methyl Transferase". The Journal of Biological Chemistry. 237 (5): 1657–1660. الوسيط
|CitationClass=تم تجاهله (مساعدة) - Nelson L, Cox M (2004). Lehninger Principles of Biochemistry (الطبعة 4th). New York: Freeman. صفحة 908. ISBN 0-7167-4339-6. مؤرشف من الأصل في 6 فبراير 2020. الوسيط
|CitationClass=تم تجاهله (مساعدة) - Mravec B (2011). "Role of catecholamine-induced activation of vagal afferent pathways in regulation of sympathoadrenal system activity: negative feedback loop of stress response". Endocr Regul. 45 (1): 37–41. الوسيط
|CitationClass=تم تجاهله (مساعدة) - H. U. Melchert, H. Hoffmeister: Determination of the urinary metabolites hydroxyindole-acetic acid, vanillyl mandelic acid and homovanillic acid by means of lipophilic gel chromatography and gas chromatography. In: Journal of Clinical Chemistry and Clinical Biochemistry. Band 15(2). 1977. Deutsch. PMID 845547. S. 81–87.
- Rizzo V, Memmi M, Moratti R, Melzi d'Eril G, Perucca E (June 1996). "Concentrations of L-dopa in plasma and plasma ultrafiltrates". Journal of Pharmaceutical and Biomedical Analysis. 14 (8–10): 1043–6. doi:10.1016/s0731-7085(96)01753-0. PMID 8818013. الوسيط
|CitationClass=تم تجاهله (مساعدة) - Cryer PE (August 1980). "Physiology and pathophysiology of the human sympathoadrenal neuroendocrine system". The New England Journal of Medicine. 303 (8): 436–44. doi:10.1056/nejm198008213030806. PMID 6248784. الوسيط
|CitationClass=تم تجاهله (مساعدة) - Cryer PE (November 1976). "Isotope-derivative measurements of plasma norepinephrine and epinephrine in man". Diabetes. 25 (11): 1071–82. doi:10.2337/diab.25.11.1071. PMID 825406. الوسيط
|CitationClass=تم تجاهله (مساعدة) - "Gerich J, et al. Hormonal mechanisms of recovery from insulin-induced hypoglycemia in man". Am J Physiol. 236: 380–385. 1979. الوسيط
|CitationClass=تم تجاهله (مساعدة) - Pacak, Karel (2007). Catecholamines and adrenergic receptors. In: Pheochromocytoma Diagnosis, Localization, and Treatment. Chapter 6: Blackwell Publishing Ltd., Oxford. صفحة 62. الوسيط
|CitationClass=تم تجاهله (مساعدة)CS1 maint: location (link) - Barger G, Dale HH (October 1910). "Chemical structure and sympathomimetic action of amines". The Journal of Physiology. 41 (1–2): 19–59. doi:10.1113/jphysiol.1910.sp001392. PMC 1513032. PMID 16993040. الوسيط
|CitationClass=تم تجاهله (مساعدة) - Von Euler, US (1946). "A specific sympathomimetic ergone in adrenergic nerve fibres (sympathin) and its relations to adrenaline and nor adrenaline". Acta Physiol Scand. 12: 73–97. doi:10.1111/j.1748-1716.1946.tb00368.x. الوسيط
|CitationClass=تم تجاهله (مساعدة) - Von Euler US, Hillarp NA (January 1956). "Evidence for the presence of noradrenaline in submicroscopic structures of adrenergic axons". Nature. 177 (4497): 44–5. Bibcode:1956Natur.177...44E. doi:10.1038/177044b0. PMID 13288591. الوسيط
|CitationClass=تم تجاهله (مساعدة) - Warren J (January 1986). "The adrenal medulla and the airway". British Journal of Diseases of the Chest. 80 (1): 1–6. doi:10.1016/0007-0971(86)90002-1. PMID 3004549. الوسيط
|CitationClass=تم تجاهله (مساعدة) - Twentyman OP, Disley A, Gribbin HR, Alberti KG, Tattersfield AE (October 1981). "Effect of beta-adrenergic blockade on respiratory and metabolic responses to exercise". Journal of Applied Physiology. 51 (4): 788–93. PMID 6795164. الوسيط
|CitationClass=تم تجاهله (مساعدة) - Richter EA, Galbo H, Christensen NJ (January 1981). "Control of exercise-induced muscular glycogenolysis by adrenal medullary hormones in rats". Journal of Applied Physiology. 50 (1): 21–6. PMID 7009527. الوسيط
|CitationClass=تم تجاهله (مساعدة) - Canon, WB. (1931). "Studies on the conditions of activity in endocrine organs xxvii. Evidence that medulliadrenal secretion is not continuous". Am J Physiol. 98: 447–453. الوسيط
|CitationClass=تم تجاهله (مساعدة) - Cryer PE, Tse TF, Clutter WE, Shah SD (August 1984). "Roles of glucagon and epinephrine in hypoglycemic and nonhypoglycemic glucose counterregulation in humans". The American Journal of Physiology. 247 (2 Pt 1): E198-205. PMID 6147094. الوسيط
|CitationClass=تم تجاهله (مساعدة) - Hoelzer DR, Dalsky GP, Schwartz NS, Clutter WE, Shah SD, Holloszy JO, Cryer PE (July 1986). "Epinephrine is not critical to prevention of hypoglycemia during exercise in humans". The American Journal of Physiology. 251 (1 Pt 1): E104-10. PMID 3524257. الوسيط
|CitationClass=تم تجاهله (مساعدة) - Hartman FA, Waite RH, McCordock HA (1922). "The liberation of epinephrine during muscular exercise". Am J Physiol. 62: 225–241. الوسيط
|CitationClass=تم تجاهله (مساعدة) - Von Euler US, Hellner S (September 1952). "Excretion of noradrenaline and adrenaline in muscular work". Acta Physiologica Scandinavica. 26 (2–3): 183–91. doi:10.1111/j.1748-1716.1952.tb00900.x. PMID 12985406. الوسيط
|CitationClass=تم تجاهله (مساعدة) - Lund, A (1950). "Simultaneous fluorimetric determinations of adrenaline and noradrenaline in blood". Acta Pharmac Tox: 137–146. الوسيط
|CitationClass=تم تجاهله (مساعدة) - Johnson GA, Kupiecki RM, Baker CA (November 1980). "Single isotope derivative (radioenzymatic) methods in the measurement of catecholamines". Metabolism. 29 (11 Suppl 1): 1106–13. doi:10.1016/0026-0495(80)90018-9. PMID 7001177. الوسيط
|CitationClass=تم تجاهله (مساعدة) - Galbo H, Holst JJ, Christensen NJ (January 1975). "Glucagon and plasma catecholamine responses to graded and prolonged exercise in man". Journal of Applied Physiology. 38 (1): 70–6. PMID 1110246. الوسيط
|CitationClass=تم تجاهله (مساعدة) - Winder WW, Hagberg JM, Hickson RC, Ehsani AA, McLane JA (September 1978). "Time course of sympathoadrenal adaptation to endurance exercise training in man". Journal of Applied Physiology. 45 (3): 370–4. PMID 701121. الوسيط
|CitationClass=تم تجاهله (مساعدة) - Kindermann W, Schnabel A, Schmitt WM, Biro G, Hippchen M (May 1982). "[Catecholamines, GH, cortisol, glucagon, insulin, and sex hormones in exercise and beta 1-blockade (author's transl)]". Klinische Wochenschrift. 60 (10): 505–12. doi:10.1007/bf01756096. PMID 6124653. الوسيط
|CitationClass=تم تجاهله (مساعدة) - Warren JB, Dalton N, Turner C, Clark TJ, Toseland PA (January 1984). "Adrenaline secretion during exercise". Clinical Science. 66 (1): 87–90. doi:10.1042/cs0660087. PMID 6690194. الوسيط
|CitationClass=تم تجاهله (مساعدة) - Fitzgerald GA, Barnes P, Hamilton CA, Dollery CT (October 1980). "Circulating adrenaline and blood pressure: the metabolic effects and kinetics of infused adrenaline in man". European Journal of Clinical Investigation. 10 (5): 401–6. doi:10.1111/j.1365-2362.1980.tb00052.x. PMID 6777175. الوسيط
|CitationClass=تم تجاهله (مساعدة) - Warren JB, Dalton N (May 1983). "A comparison of the bronchodilator and vasopressor effects of exercise levels of adrenaline in man". Clinical Science. 64 (5): 475–9. doi:10.1042/cs0640475. PMID 6831836. الوسيط
|CitationClass=تم تجاهله (مساعدة) - Warren JB, Dalton N, Turner C, Clark TJ (November 1984). "Protective effect of circulating epinephrine within the physiologic range on the airway response to inhaled histamine in nonasthmatic subjects". The Journal of Allergy and Clinical Immunology. 74 (5): 683–6. doi:10.1016/0091-6749(84)90230-6. PMID 6389647. الوسيط
|CitationClass=تم تجاهله (مساعدة) - Grossman M (1887). "Das muscarin-lungen-odem". Z Klin Med. 12: 550–591. الوسيط
|CitationClass=تم تجاهله (مساعدة) - Jackson DE (1912). "The pulmonary action of the adrenal glands". J Pharmac Exp Therap. 4: 59–74. الوسيط
|CitationClass=تم تجاهله (مساعدة) - Kagawa J, Kerr HD (February 1970). "Effects of brief graded exercise on specific airway conductance in normal subjects". Journal of Applied Physiology. 28 (2): 138–44. PMID 5413299. الوسيط
|CitationClass=تم تجاهله (مساعدة) - Warren JB, Jennings SJ, Clark TJ (January 1984). "Effect of adrenergic and vagal blockade on the normal human airway response to exercise". Clinical Science. 66 (1): 79–85. doi:10.1042/cs0660079. PMID 6228370. الوسيط
|CitationClass=تم تجاهله (مساعدة) - Jennings SJ, Warren JB, Pride NB (July 1987). "Airway caliber and the work of breathing in humans". Journal of Applied Physiology. 63 (1): 20–4. PMID 2957350. الوسيط
|CitationClass=تم تجاهله (مساعدة) - Mezzacappa E, Katkin E, Palmer S (1999). "Epinephrine, arousal, and emotion: A new look at two-factor theory". Cognition and Emotion. 13 (2): 181–199. doi:10.1080/026999399379320. الوسيط
|CitationClass=تم تجاهله (مساعدة) - Toth M, Ziegler M, Sun P, Gresack J, Risbrough V (February 2013). "Impaired conditioned fear response and startle reactivity in epinephrine-deficient mice". Behavioural Pharmacology. 24 (1): 1–9. doi:10.1097/FBP.0b013e32835cf408. PMC 3558035. PMID 23268986. الوسيط
|CitationClass=تم تجاهله (مساعدة) - Cahill L, Alkire MT (March 2003). "Epinephrine enhancement of human memory consolidation: interaction with arousal at encoding". Neurobiology of Learning and Memory. 79 (2): 194–8. doi:10.1016/S1074-7427(02)00036-9. PMID 12591227. الوسيط
|CitationClass=تم تجاهله (مساعدة) - Dornelles A, de Lima MN, Grazziotin M, Presti-Torres J, Garcia VA, Scalco FS, Roesler R, Schröder N (July 2007). "Adrenergic enhancement of consolidation of object recognition memory". Neurobiology of Learning and Memory. 88 (1): 137–42. doi:10.1016/j.nlm.2007.01.005. PMID 17368053. الوسيط
|CitationClass=تم تجاهله (مساعدة) - Roozendaal B, McGaugh JL (December 2011). "Memory modulation". Behavioral Neuroscience. 125 (6): 797–824. doi:10.1037/a0026187. PMC 3236701. PMID 22122145. الوسيط
|CitationClass=تم تجاهله (مساعدة) - "SLC18 family of vesicular amine transporters". Guide to Pharmacology. IUPHAR/BPS. اطلع عليه بتاريخ 21 أغسطس 2015. الوسيط
|CitationClass=تم تجاهله (مساعدة) - Shen, Howard (2008). Illustrated Pharmacology Memory Cards: PharMnemonics. Minireview. صفحة 4. ISBN 1-59541-101-1. الوسيط
|CitationClass=تم تجاهله (مساعدة) - Arnall DA, Marker JC, Conlee RK, Winder WW (June 1986). "Effect of infusing epinephrine on liver and muscle glycogenolysis during exercise in rats". The American Journal of Physiology. 250 (6 Pt 1): E641-9. doi:10.1152/ajpendo.1986.250.6.E641. PMID 3521311. الوسيط
|CitationClass=تم تجاهله (مساعدة) - Raz I, Katz A, Spencer MK (March 1991). "Epinephrine inhibits insulin-mediated glycogenesis but enhances glycolysis in human skeletal muscle". The American Journal of Physiology. 260 (3 Pt 1): E430-5. doi:10.1152/ajpendo.1991.260.3.E430. PMID 1900669. الوسيط
|CitationClass=تم تجاهله (مساعدة) - Sabyasachi Sircar (2007). Medical Physiology. Thieme Publishing Group. صفحة 536. ISBN 3-13-144061-9. الوسيط
|CitationClass=تم تجاهله (مساعدة) - "Guideline 11.5: Medications in Adult Cardiac Arrest" (PDF). Australian Resuscitation Council. December 2010. اطلع عليه بتاريخ 07 مارس 2015. الوسيط
|CitationClass=تم تجاهله (مساعدة) - Burnett AM, Segal N, Salzman JG, McKnite MS, Frascone RJ (August 2012). "Potential negative effects of adrenaline on carotid blood flow and ETCO2 during active compression-decompression CPR utilizing an impedance threshold device". Resuscitation. 83 (8): 1021–4. doi:10.1016/j.resuscitation.2012.03.018. PMID 22445865. الوسيط
|CitationClass=تم تجاهله (مساعدة) - Carsten Schmuck, Bernd Engels, Tanja Schirmeister, Reinhold Fink: Chemie für Mediziner. Pearson Studium, München u. a. 2008, ISBN 978-3-8273-7286-4, S. 413.
- Hermann J. Roth, Axel Kleemann: Arzneistoffsynthese (= Pharmazeutische Chemie. Bd. 1). Thieme, Stuttgart u. a. 1982, ISBN 3-13-632901-5, S. 14–16.
- "The Use of Extract of Suprarenal Capsule in the Eye - www.Central-Fixation.com". الوسيط
|CitationClass=تم تجاهله (مساعدة)[وصلة مكسورة] - Aronson JK (2000). "Where name and image meet" - the argument for "adrenaline". British Medical Journal 320, 506-9. نسخة محفوظة 06 يوليو 2008 على موقع واي باك مشين.
- Yamashima T (2003). "Jokichi Takamine (1854-1922), the samurai chemist, and his work on adrenalin". J Med Biogr. 11 (2): 95–102. PMID 12717538. الوسيط
|CitationClass=تم تجاهله (مساعدة) - Bennett M (1999). "One hundred years of adrenaline: the discovery of autoreceptors". Clin Auton Res. 9 (3): 145–59. doi:10.1007/BF02281628. PMID 10454061. الوسيط
|CitationClass=تم تجاهله (مساعدة) - Zuckerman M (2007). Sensation seeking and risky behavior (الطبعة 2. print.). Washington, DC: American Psychological Association. ISBN 1591477387. الوسيط
|CitationClass=تم تجاهله (مساعدة) - Jänig W (2006). The integrative action of the autonomic nervous system : neurobiology of homeostasis. Cambridge: UK. صفحات 143–146. ISBN 9780521845182. الوسيط
|CitationClass=تم تجاهله (مساعدة) - Deane W, Rubin B (1964). "Absence of adrenal meduallary secretions". The Adrenocortical Hormones Their Origin – Chemistry Physiology and Pharmacology. Berlin, Heidelberg: Springer Berlin Heidelberg. صفحة 105. ISBN 9783662131329. الوسيط
|CitationClass=تم تجاهله (مساعدة) - Frankenhaeuser M, Jarpe G, Matell G (1961). "Effects of intravenous infusions of adrenaline and noradrenaline on certain psychological and physiological functions". Acta Physiologica Scandinavica. 51 (2–3): 175–86. doi:10.1111/j.1748-1716.1961.tb02126.x. PMID 13701421. الوسيط
|CitationClass=تم تجاهله (مساعدة)
باللغة العربيَّة
وصلات خارجية
صور وملفات صوتية من كومنز
- بوابة الكيمياء
- بوابة صيدلة
- بوابة طب
- بوابة علم الأحياء الخلوي والجزيئي
- بوابة علوم عصبية


